Baha Опубликовано 23 Мая 2008 Поделиться Опубликовано 23 Мая 2008 )) 2 Baha - спасибо за разъяснение. будем экспериментировать. потом расскажу о результатах. ОФФТОП Вообще то для "спасибо" кнопочка есть! Но все равно приятно. Цитата Ссылка на комментарий Поделиться на других сайтах Прочее
maxmyd Опубликовано 17 Января 2016 Поделиться Опубликовано 17 Января 2016 можно ли применить такую схему подключения без применения дисека 1.1? все дисеки 2.0 когда то давно где то срисовал эту схему но не знаю будет она работать или нет? Цитата Ссылка на комментарий Поделиться на других сайтах Прочее
Гость Опубликовано 17 Января 2016 Поделиться Опубликовано 17 Января 2016 maxmyd нет не будет, и зачем так всё усложнять если можно купить 8 портовый дисек Цитата Ссылка на комментарий Поделиться на других сайтах Прочее
ruslan_90 Опубликовано 18 Августа 2016 Поделиться Опубликовано 18 Августа 2016 Salem , masterler sizge bir sorawim bar, men (нтв+ онs 1740 v) degen модел tuynerin alip edim tazasin ha'mme komplekt pen ol nukus qalasinda uslayma o'zi Цитата Ссылка на комментарий Поделиться на других сайтах Прочее
denis2344 Опубликовано 18 Августа 2016 Поделиться Опубликовано 18 Августа 2016 Здраствуйте выложите пожалуста схему или обясните как можно ещё зделать если 8 портовый свичь заполнен а я хочу ещё установить антенны но не знаю как соединить на 8 портовый если он заполнян помогите пож как это зделать Цитата Ссылка на комментарий Поделиться на других сайтах Прочее
Stass Опубликовано 19 Августа 2016 Поделиться Опубликовано 19 Августа 2016 Уточните конфиг оборудования. И чем хотите дополнить. Тем более что свитч -дословно переключатель, может относится как к обычному "дисеку" или "дайсику", так и к мультисвитчу, разделяющему сигнал на несколько ресиверов. Цитата Ссылка на комментарий Поделиться на других сайтах Прочее
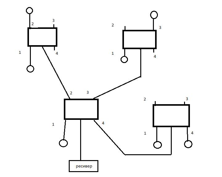
qodirovma Опубликовано 19 Августа 2016 Поделиться Опубликовано 19 Августа 2016 выложите пожалуста схему или обясните как можно ещё зделать если 8 портовый свичь заполнен а я хочу ещё установить антенны но не знаю как соединить на 8 портовый если он заполнян Это называется Каскадинг и он "ныне" даже в самых бюджетных ресиверах реализован Смотрите схему в место дисека по протоколу 1.1 4Х1 поставите свой 8Х1 и в настройках LNB направите порты как у 1.1 так и у 1.0. Цитата Ссылка на комментарий Поделиться на других сайтах Прочее
infinite.uz Опубликовано 19 Августа 2016 Поделиться Опубликовано 19 Августа 2016 Вот пример .Только в вашем случае дисек 1.1 будет 8 портовый. Пример настройки каскадного подключения DiSEqC Цитата Ссылка на комментарий Поделиться на других сайтах Прочее
Рекомендуемые сообщения
Присоединиться к обсуждению
Вы можете ответить сейчас, а зарегистрироваться позже. Если у вас уже есть аккаунт, войдите, чтобы ответить от своего имени.
Внимание:Ваше сообщение не будет отображаться другим пользователям, пока не будет одобрено модератором.